PlayStation 新闻转发
18:08 · 2025年1月8日 · 周三
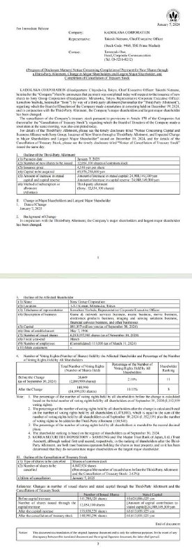
角川官网发布公告,索尼已支付收购角川集团股份的款项,成为角川最大股东,目前持有10.11%的股份。
Home
Powered by
BroadcastChannel
&
Sepia