「Play Has No Limits」
🎮 #会员折扣
春节会员折扣1月22日到2月4日。

2️⃣2️⃣ 7️⃣5️⃣ HK$528.75
3️⃣3️⃣ 6️⃣5️⃣ HK$533.00

*仅限当前非会员,当前会员升档至PlayStation Plus高级会员方案,剩余会员费可享65折优惠价
据知名AMD相关内容爆料人KeplerL2透露,PS6的系统芯片(SoC)已经完成设计,目前处于测试阶段,预计年底「A0 tapeout」。同时PS6的GPU会以AMD gfx13为蓝本生产。

根据以往经验来看,索尼的「A0 tapeout」和主机发布的间隔一般是两年。所以若信息准确的话,PS6或许会在2027年底推出。这也与SIE于2022年向英国竞争监管机构提交的文件内容相符,当时该文件中提到PS6发布窗口就为2027年年末。
PlayStation提前向各位玩家朋友们拜个早年!
我们特别准备了两套PlayStation春节主题壁纸送给大家!
从下周一开始直到春节假期结束,我们还准备了一系列新春福利活动,与大家一起共度蛇年春节,敬请期待。
2025🐍年,我们一起玩无极限!
据彭博社消息,索尼取消了Bend Studio和Bluepoint Games分别开发的两款未公布的“实时服务型游戏”。
彭博社记者Jason Schreier表示,Bluepoint Games的项目是一款《战神》IP的服务型游戏,该工作室自2022年《战神 诸神黄昏》后后就一直致力于开发该项目。
索尼互动娱乐公司的一位发言人证实了取消的消息,他表示这两款游戏是“根据最近的审查”后才取消的,并重申PlayStation将继续制作单人游戏和在线游戏。
Bend Studio上一款作品是《往日不再》,而Bluepoint Games上一款作品则是PS5版的《恶魔之魂》,也有参与《战神 诸神黄昏》的开发,于2021年被索尼收购。
🎮 #港服 #欧美服 #目录
2025年1月港/欧美服二档游戏目录、三档经典游戏库新增游戏完整列表公布,将于1月21日入库:

2️⃣2️⃣
94 | PS4/PS5 《战神 诸神黄昏》
75 | PS4/PS5 《纪元:突变》
65 | PS5 《尘封大陆:沙之王国》
80 | PS4/PS5 《深空梦里人》
80 | PS4/PS5 《如龙7外传 无名之龙》

70 | PS4/PS5 《兽人必须死3》
60 | PS4 《Poker Club》
85 | PS4 《再见狂野之心》
72 | PS4/PS5 《SD GUNDAM 激斗同盟》


3️⃣3️⃣
65 | PS2《夺宝奇兵:国王之杖》
67 | PS1《MediEvil 2》
据彭博社报道,腾讯和育碧Guillemot家族正在考虑成立一个包含育碧部分资产的新合资企业。知情人士透露,腾讯正在和Guillemot家族评估新企业应该包含哪些资产并对其进行估值。
2024年12月份PlayStation 玩家选择奖得主:《漫威争锋》
多人派对游戏《猛兽派对》官方宣布,游戏将登陆PS5平台,并发布了一条角色 尼莫 和 PS5主机的预告。 ​​​
Bungie于去年进行了工作室结构调整,并迎来了大规模裁员。其中公司约12%的人将融入SIE中,并且棒鸡和PS 工作室将拆分出一个新工作室来管理尚未公开的项目。媒体thegamepost表示,有消息人士向其透露,Bungie新IP《小熊软糖》(Gummy Bears)现已过渡到PS工作室。

据悉这是一款MOBA游戏,它从《任天堂明星大乱斗》中汲取灵感,采用了百分比生命系统。游戏画风选择了年轻欢乐的风格,内部开发已经至少进行了3年。根据此前官方发表的公告显示,棒鸡在结构调整后,仍会有超过850名员工负责《命运》和《马拉松》的项目。
《艾尔登法环 暗夜君临》网络测试今日起至1月20日至报名,将于2025年2月14日至17日之间进行测试,测试版本为PS5、Xbox Series X|S。本次网络测试的目的主要有三个:
①测试游戏服务器在进行多人同时连线时的游玩效果
②玩家处于不同网络环境下进行多人游玩时可能发生的多种问题的测试与验证
③玩家之间的相互作用对游戏平衡性的影响。

本作将在2025年内发售,平台PS4/PS5/Xbox One/Xbox Series X|S/PC。

《艾尔登法环 黑夜君临》网络测试报名
育碧宣布《刺客信条:影》再度延期,发售日从原定的2月14日改为3月20日。 ​​​
死亡循环个人造型
港服:KB3H-FQNJ-5BCT
美服:7673-6HNN-K887
欧服:3XF7-QANX-CJ6A
日服:QQH5-75NA-3TBP
韩服:AN6J-FGNM-CCH7
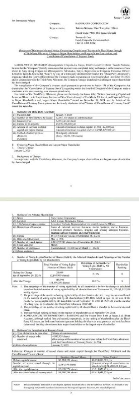
角川官网发布公告,索尼已支付收购角川集团股份的款项,成为角川最大股东,目前持有10.11%的股份。 ​​​
《怪物猎人荒野》计划在PS5、Xbox Series X|S、Steam平台开启第二次公开测试,参与第二次测试可获得特典饰物泰迪艾露猫及道具包,测试时间如下:

2月7月(五)11:00~2月10日(一)10:59
2月14月(五)11:00~2月17日(一)10:59
Back to Top