「Play Has No Limits」
Bungie于去年进行了工作室结构调整,并迎来了大规模裁员。其中公司约12%的人将融入SIE中,并且棒鸡和PS 工作室将拆分出一个新工作室来管理尚未公开的项目。媒体thegamepost表示,有消息人士向其透露,Bungie新IP《小熊软糖》(Gummy Bears)现已过渡到PS工作室。

据悉这是一款MOBA游戏,它从《任天堂明星大乱斗》中汲取灵感,采用了百分比生命系统。游戏画风选择了年轻欢乐的风格,内部开发已经至少进行了3年。根据此前官方发表的公告显示,棒鸡在结构调整后,仍会有超过850名员工负责《命运》和《马拉松》的项目。
《艾尔登法环 暗夜君临》网络测试今日起至1月20日至报名,将于2025年2月14日至17日之间进行测试,测试版本为PS5、Xbox Series X|S。本次网络测试的目的主要有三个:
①测试游戏服务器在进行多人同时连线时的游玩效果
②玩家处于不同网络环境下进行多人游玩时可能发生的多种问题的测试与验证
③玩家之间的相互作用对游戏平衡性的影响。

本作将在2025年内发售,平台PS4/PS5/Xbox One/Xbox Series X|S/PC。

《艾尔登法环 黑夜君临》网络测试报名
育碧宣布《刺客信条:影》再度延期,发售日从原定的2月14日改为3月20日。 ​​​
死亡循环个人造型
港服:KB3H-FQNJ-5BCT
美服:7673-6HNN-K887
欧服:3XF7-QANX-CJ6A
日服:QQH5-75NA-3TBP
韩服:AN6J-FGNM-CCH7
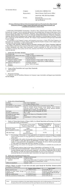
角川官网发布公告,索尼已支付收购角川集团股份的款项,成为角川最大股东,目前持有10.11%的股份。 ​​​
《怪物猎人荒野》计划在PS5、Xbox Series X|S、Steam平台开启第二次公开测试,参与第二次测试可获得特典饰物泰迪艾露猫及道具包,测试时间如下:

2月7月(五)11:00~2月10日(一)10:59
2月14月(五)11:00~2月17日(一)10:59
PlayStation宣布四款PS5外设追加午夜黑配色,将在2月20日发售,预购则会在1月16日开启。 🔗

PS Portal串流掌机 199.99美元
Pulse Explore入耳耳塞 199.99美元
Pulse Elite头戴耳机 149.99美元
DualSense Edge 199.99美元 New Midnight Black Collection of PS5 accessories launches next month
《黑神话悟空》影神图实体版官宣,将于农历年后开启正式的发售工作

平装版
售价159.2元,采用裸脊锁线装帧工艺
后天袋×1、
藏书票×1、
明信片×7

线装版礼盒
售价342元,采用仿古传统中式线装装帧工艺
壁画长卷×1
猴毛线香×1
“袁守诚”桌上屏风×1
线装版礼盒版.jpg
5.6 MB
平装版.jpg
4.8 MB
根据领英资料显示,白金工作室成员Abebe Tinari已于去年11离开,并在12月来到Housemarque担任首席游戏设计师一职。Abebe Tinari在白金工作了11年,从《猎天使魔女2》的本地化开始,他参与过《碧蓝幻想:Relink》《龙鳞化身》等项目,并担任了2023年发售的《猎天使魔女起源:瑟雷莎与失落恶魔》的总监。

Housemarque是一家芬兰游戏工作室,2021年被SIE收购成为PS工作室的一员。他们在2021年推出了科幻射击游戏《死亡回归》。根据官方去年发布的招聘启事显示,该工作室正在开发一款3A动作游戏。
《暗影火炬城》开发商新作《动物朋克》(代号)在CES上发表了技术演示,主要聚焦在离线AI技术展示,玩家可以在游戏中通过语音交互创造自己的武器、载具与涂装。本作目前处于开发中期,延续了《暗影火炬城》的世界观与美术风格,不过玩法和类型完全不同。 🔗
在CES 2025上,显示接口技术宣布了两项重大进展。HDMI Forum推出HDMI 2.2,为高分辨率和数据密集型应用提供了改进的性能和更大的带宽。与此同时,视频电子标准协会(VESA)宣布了对DisplayPort 2.1规范的更新,将其升级为DisplayPort 2.1b,显著提升了电缆长度和灵活性。

HDMI 组织表示新标准的最高带宽达到 96Gbps,不过和之前相比,最大的区别其实是加入了新版的固定速率协议,让 4K60 以上的视频流以未压缩之形式传输,并增加 LIP 延迟指示协议,以改善音画不同步。将会更好地满足 AR\VR\MR 等应用场景,或是在大型商用显示、医学和机器视觉中发挥作用。

随着 2.2 标准的推出,HDMI 还推出了 Ultra96 HDMI 线缆认证,认证要求每一款线缆的每一个长度版本都通过认证。新的设计规范会在今年上半年开始向厂商提供,相关产品面世应该还要再过一段时间。
#RTX50显卡
GeForce RTX 5090 1,999 美元
GeForce RTX 5080 999 美元
GeForce RTX 5070Ti 749 美元
GeForce RTX 5070 549 美元
PlayStation的动态
@PlayStation:
与大家分享来自 CES 2025 的最新消息:
《Ghost of Tsushima》动画化决定,由神风动画制作;
《绝地潜兵》将改编为电影,由索尼影业制作;
《地平线 零之曙光》将改编为电影,由哥伦比亚影业和PlayStation Productions联合制作;
《直到黎明》的改编电影即将于海外上映;
《最后生还者》真人剧集第二季将于4月在海外视频平台HBO上线。
Back to Top